logo

Crowdly

Browser

Add to Chrome

40952 Matemática Discreta

Looking for 40952 Matemática Discreta test answers and solutions? Browse our comprehensive collection of verified answers for 40952 Matemática Discreta at aep25.ulpgc.es.

Get instant access to accurate answers and detailed explanations for your course questions. Our community-driven platform helps students succeed!

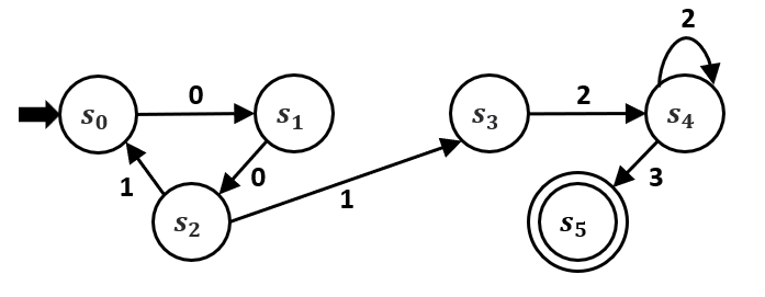
Dado el autómata de la siguiente figura, ¿Cuál de las siguientes expresiones regulares lo define?

View this question

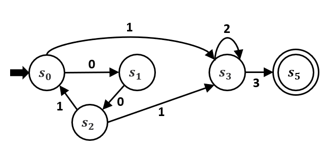
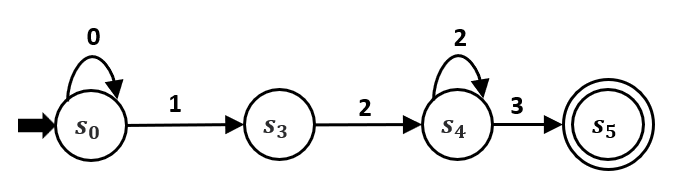
Dado el alfabeto Σ = {0, 1, 2, 3}, ¿Cuál de los siguientes autómatas corresponde con un autómata finito que acepte el lenguaje formado por las cadenas que separen con 1 un número par de 0, contengan como mínimo un 2, y finalicen con un 3?

NOTA: Se consideran números pares aquellos comprendidos en el intervalo {0, 2, 4, 6, …, ∞}

0%
0%
0%
View this question

Un lenguaje L es reconocido por un autómata finito no determinista, MND,  ¿Se puede afirmar que ese mismo lenguaje, L, podrá ser reconocido por un autómata finito determinista, MD?

View this question

Siendo A, B y C conjuntos, y U el conjunto universal, emparejar expresiones de conjuntos con los siguientes diagramas de Venn:

Diagramas de Venn

Diagrama 1

Diagrama 2

Diagrama 3

Diagrama 4

Diagrama 5

View this question

Want instant access to all verified answers on aep25.ulpgc.es?

Get Unlimited Answers To Exam Questions - Install Crowdly Extension Now!

Browser

Add to Chrome