logo

Crowdly

Browser

Add to Chrome

Фізика для харчових технологій

Looking for Фізика для харчових технологій test answers and solutions? Browse our comprehensive collection of verified answers for Фізика для харчових технологій at cde.nuft.edu.ua.

Get instant access to accurate answers and detailed explanations for your course questions. Our community-driven platform helps students succeed!

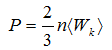
Вкажіть формулу, за якою визначається тиск світла при його нормальному падінні на поверхню?

0%
0%
0%
0%
0%
View this question

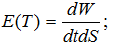
За якою формулою визначають червону границю фотоефекту?

0%
0%
0%
0%
0%
View this question

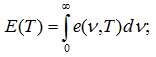
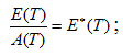
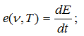
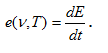
Яка з наведених формул виражає фізичний зміст інтегральної випромінюючої здатності?

0%
0%
0%
0%
0%
View this question

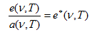
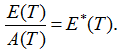
Яке з наведених рівнянь виражає закон Кірхгофа для теплового випромінювання?

0%
0%
0%
0%
0%
View this question

Яке з наведених рівнянь виражає закон Стефана-Больцмана для теплового випромінювання?

0%
0%
0%
0%
0%
View this question

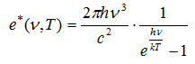
Яка з наведених формул справджується для абсолютно чорного тіла?

0%
0%
0%
0%
0%
View this question

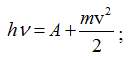
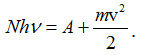
Яке з наведених співвідношень є рівнянням Ейнштейна для зовнішнього фотоефекту?

0%
0%
0%
0%
0%
View this question

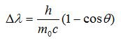
За якою формулою можна визначити збільшення довжини хвилі випромінювання в ефекті Комптона?

0%
0%
0%
0%
0%
View this question

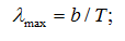
Яке з наведених рівнянь виражає закон зміщення Віна для теплового випромінювання?

0%
0%
0%
0%
0%
View this question

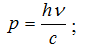
 За якою з наведених формул можна знайти імпульс фотона?

0%
0%
0%
0%
0%
View this question

Want instant access to all verified answers on cde.nuft.edu.ua?

Get Unlimited Answers To Exam Questions - Install Crowdly Extension Now!

Browser

Add to Chrome