logo

Crowdly

Browser

Add to Chrome

Основи комп'ютерного проектування

Looking for Основи комп'ютерного проектування test answers and solutions? Browse our comprehensive collection of verified answers for Основи комп'ютерного проектування at cde.nuft.edu.ua.

Get instant access to accurate answers and detailed explanations for your course questions. Our community-driven platform helps students succeed!

Система

View this question

Встановіть відповідність малюнка і типу зображення

View this question

Встановіть відповідність між прив’язками та піктограмами

View this question

Для форматів А0–А3 дозволено розташування аркушів

0%
0%
View this question

Коли почала розвиватись технічна графіка?

0%
0%
View this question

Перший екземпляр чи примірник виробу, виготовлений за новорозробленою документацією для використання його як за призначенням, так і для одночасного опрацювання конструкції та технічної документації з метою поліпшення виробництва та експлуатації решти екземплярів цієї партії чи серії – 

0%
0%
View this question

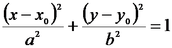
Встановіть відповідність між рівнянням і лінією

View this question

Вставте пропущене значення номінального ряду шрифтів: 

«1,8 мм; 2,5 мм; 3,5 мм; 5 мм; …; 10 мм; 14 мм; 20 мм»

View this question

Яке розшифрування і тлумачення має абревіатура САПР?

0%
0%
0%
0%
View this question

Назвіть розташування прямих в просторі

View this question

Want instant access to all verified answers on cde.nuft.edu.ua?

Get Unlimited Answers To Exam Questions - Install Crowdly Extension Now!

Browser

Add to Chrome