logo

Crowdly

Browser

Add to Chrome

BNU1501-25-EX06C

Looking for BNU1501-25-EX06C test answers and solutions? Browse our comprehensive collection of verified answers for BNU1501-25-EX06C at cems.myexams.unisa.ac.za.

Get instant access to accurate answers and detailed explanations for your course questions. Our community-driven platform helps students succeed!

How much simple interest is payable on a loan of

R40 000,00 borrowed for a period of 22 months at a simple interest rate of 12%

per year?

0%
0%
0%
100%
View this question

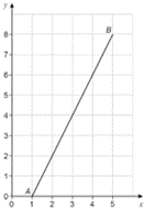
Determine the equation of the straight line in

the diagram below.

Q11

0%
0%
0%
0%
View this question

Determine the equation of the straight line

passing through the points (3; -2) and (5; -6).

33%
67%
0%
0%
View this question

Suppose that, at the end of every month, John deposits

an amount of R600,00 into an account earning 6% interest per year, compounded

monthly over a period of three years. Determine the accumulated amount John

will receive at the end three years.

0%
0%
0%
0%
View this question

The value of a one-bedroom flat in Pretoria

increased from R151 300,00 to R230 592,50 over a five-year period.

The average annual rate of increase in the value of the one-bedroom flat over five

years, rounded to two decimal places, is _____.

0%
100%
0%
0%
View this question

Determine

the point that

does not lie on the straight-line

100%
0%
0%
0%
View this question

A BCom graduate bought a small apartment for

R151 000,00 with a down payment of R51 000,00. If the graduate

secures a mortgage bond with a bank for the balance at 15% per annum,

compounded monthly, with a term of 20 years, what are the monthly payments?

0%
0%
0%
0%
View this question

What is the y-intercept of the straight line in the diagram below?

Q11

0%
0%
0%
0%
View this question

Find the value of in the following equation:

0%
0%
0%
0%
View this question

Find the equation of a straight line with slope passing through the point (-4; -1).

0%
100%
0%
0%
View this question

Want instant access to all verified answers on cems.myexams.unisa.ac.za?

Get Unlimited Answers To Exam Questions - Install Crowdly Extension Now!

Browser

Add to Chrome