logo

Crowdly

Browser

Add to Chrome

Matematica Basica (Danilo Suero Ramirez)

Looking for Matematica Basica (Danilo Suero Ramirez) test answers and solutions? Browse our comprehensive collection of verified answers for Matematica Basica (Danilo Suero Ramirez) at ciencias.uasd.edu.do.

Get instant access to accurate answers and detailed explanations for your course questions. Our community-driven platform helps students succeed!

¿Cuál es el resultado que se obtiene al simplificar la siguiente expresión?

100%
0%
0%
0%
View this question

Si n es un número natural mayor o igual que 2 ¿Cuál de las siguientes expresiones equivale a la siguiente expresión?

0%
0%
0%
0%
100%
View this question

Si a, b son números reales y, además; m, n son números naturales, tales que  ¿Cuál es la expresión equivalente de...?

0%
0%
50%
50%
0%
View this question
¿Cuál es la afirmación correcta si se ha racionalizado el denominador aplicando los pasos que se muestran en la imagen?

0%
100%
0%
0%
View this question
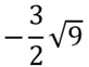
¿Cuál es el resultado de la siguiente suma de radicales?

0%
0%
0%
0%
View this question

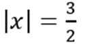
Si x es un número real, n es un entero positivo mayor o igual que 2 entonces, siempre se cumple que: 

 

0%
0%
View this question

¿Cuál es el resultado correcto de racionalizar el denominador de la siguiente expresión?

0%
0%
100%
0%
0%
View this question

¿Cuáles de las siguientes expresiones son equivalentes?

0%
0%
0%
0%
0%
View this question
¿Cuál es la forma correcta de escribir el intervalo  en notación de desigualdad?

0%
0%
0%
0%
View this question

Sabiendo que x representa algún número real ¿Cuál de las siguientes expresiones carece de sentido?

0%
0%
0%
0%
View this question

Want instant access to all verified answers on ciencias.uasd.edu.do?

Get Unlimited Answers To Exam Questions - Install Crowdly Extension Now!

Browser

Add to Chrome