logo

Crowdly

Browser

Add to Chrome

ESTRUCTURAS DE DATOS Grupo C

Looking for ESTRUCTURAS DE DATOS Grupo C test answers and solutions? Browse our comprehensive collection of verified answers for ESTRUCTURAS DE DATOS Grupo C at cvex1.ucm.es.

Get instant access to accurate answers and detailed explanations for your course questions. Our community-driven platform helps students succeed!

Si inserto en un ABB vacío una serie de elementos, el primero que inserte acaba siendo la raíz del árbol.

0%
0%
View this question

En un árbol binario de búsqueda se insertan los números en algún orden. El hijo derecho tiene nodos. ¿Cuál fue el primero en insertarse?

0%
0%
0%
0%
View this question

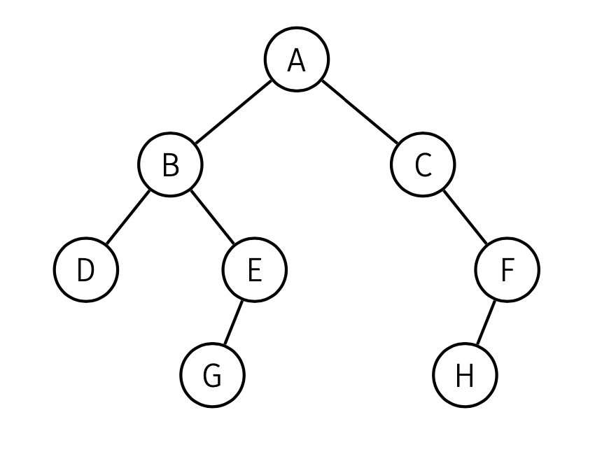
En el siguiente árbol binario de búsqueda (donde las letras sirven para identificar a los nodos pero no representan su contenido), ¿qué nodo contiene el cuarto menor elemento?

View this question

Si insertamos en un árbol binario de búsqueda los valores 7, 5, 1, 8, 3, 6, 4, 2 en ese orden, ¿cuál es su recorrido en inorden?

View this question

Si recorremos un ABB en inorden, obtenemos una secuencia ordenada.

100%
0%
View this question

Si borramos la raíz del siguiente árbol binario de búsqueda sustituyéndola por algo del hijo izquierdo, ¿cuál sería la nueva raíz?

ABB del que borramos la raíz

View this question

¿Cuál es el coste en el caso peor de buscar, insertar y borrar en un árbol binario de búsqueda cualquiera de tamaño ?

0%
0%
0%
View this question

En el siguiente árbol binario de búsqueda, ¿qué valores puede contener el nodo A?

View this question

Supongamos una lista v = [0, 1, 2, 3, 4, 5, 6, 7, 8, 9] implementada mediante un vector<int>. Ahora ejecutamos lo siguiente:

auto it1 = v.begin();

auto it2 = it1 + 2;

auto it3 = it1 + 3;

auto it4 = it1 + 4;

auto it5 = v.end();

v.erase(v.begin() + 3);

Suponiendo que el array no se redimensiona durante la operación. ¿Qué iteradores se invalidan tras la operación de borrado?

View this question

Supongamos el siguiente código, donde v es un vector<int> que representa la lista [0, 1, 2, 3, 4, 5, 6, 7, 8, 9]

auto it = v.begin() + 3;

v.insert(it + 2, 33);

¿Qué lista representa v tras ejecutar este código?

View this question

Want instant access to all verified answers on cvex1.ucm.es?

Get Unlimited Answers To Exam Questions - Install Crowdly Extension Now!

Browser

Add to Chrome