logo

Crowdly

Browser

Add to Chrome

Фізика (185, 144, 103)

Looking for Фізика (185, 144, 103) test answers and solutions? Browse our comprehensive collection of verified answers for Фізика (185, 144, 103) at dist.nupp.edu.ua.

Get instant access to accurate answers and detailed explanations for your course questions. Our community-driven platform helps students succeed!

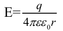
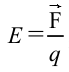
Яка з наведених формул є математичним записом закону Кулона?

0%
0%
0%
0%
View this question

Want instant access to all verified answers on dist.nupp.edu.ua?

Get Unlimited Answers To Exam Questions - Install Crowdly Extension Now!

Browser

Add to Chrome