logo

Crowdly

Browser

Add to Chrome

Практикум з загальної фізики (для студентів кафедри хімії та кафедри біології) весняний триместр (доцент Стрільчук О.М.)

Looking for Практикум з загальної фізики (для студентів кафедри хімії та кафедри біології) весняний триместр (доцент Стрільчук О.М.) test answers and solutions? Browse our comprehensive collection of verified answers for Практикум з загальної фізики (для студентів кафедри хімії та кафедри біології) весняний триместр (доцент Стрільчук О.М.) at distedu.ukma.edu.ua.

Get instant access to accurate answers and detailed explanations for your course questions. Our community-driven platform helps students succeed!

Як

зміниться електроємність плоского конденсатора, якщо площу збільшити в 2 рази,

а відстань між ними зменшити в 6 разів?

100%
0%
0%
0%
0%
View this question

Відхилення ходу променів у реальних оптичних системах від ідеальних називають

0%
100%
0%
0%
View this question

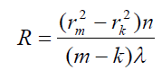
Радіус кривизни лінзи визначається як

0%
0%
100%
0%
0%
View this question

У деяку точку  М надходять дві когерентні світлові хвилі з геометричною різницею ходу 1,3 мкм. Довжина хвиль у вакуумі — 500 нм. Якщо світло поширюється у середовищі з n=2.5, то у точці М спостерігається посилення світла.

0%
100%
View this question

Want instant access to all verified answers on distedu.ukma.edu.ua?

Get Unlimited Answers To Exam Questions - Install Crowdly Extension Now!

Browser

Add to Chrome