logo

Crowdly

Browser

Add to Chrome

Координаційна хімія

Looking for Координаційна хімія test answers and solutions? Browse our comprehensive collection of verified answers for Координаційна хімія at distedu.ukma.edu.ua.

Get instant access to accurate answers and detailed explanations for your course questions. Our community-driven platform helps students succeed!

Як буде змінюватись стійкість комплексів, що утворенні жорсткими кислотами та галогенід-іонами?

View this question

Співвідношення  μ = αЕ  описує пропорційну залежність поляризаційного коефіцієнта μ від сили електричного поля Е.

100%
0%
View this question

Внаслідок поляризації та деформації іонів відбувається ...

View this question

Для однозарядного центрального іона та однозарядних лігандів приведіть у відповідність значення коефіцієнта екранування та ймовірність утворення комплексів різної просторової конфігурації.

View this question

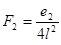
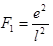
[MeL2]- лінійний комплекс, утворений однозарядним центральним атомом та однозарядним лігандом.  Сила притягання між центральним атомом та лігандом дорівнює  , а сила відштовхування між лігандами відповідно  ( l - відстань між ядрами центрального атома та ліганду). Чому дорівнює коефіцієнт екранування? 

View this question

Легше поляризуються і деформуються катіони з електронною оболонкою...

0%
View this question

Вкажіть, які властивості координаційних сполук електростатична теорія не змогла пояснити:

(1) ймовірність утворення комплексу певної просторової конфігурації;

(2) зміну стійкості комплексів у розчині, наприклад,  [Cu(NH3)6]2+ та [Cu(H2O)6]2+;

(3) стійкість низки координаційних сполук в залежності від координаційного числа;

(4) забарвлення координаційних сполук;

(5) існування карбонільних комплексів.

0%
0%
0%
0%
0%
View this question

 Які координаційні числа найбільш характерні для хлоридних комплексів  Si4+, Sn4+,Pb4+? Радіус Cl- дорівнює 1,81 Å, а радіуси Si4+, Sn4+,Pb4+ дорівнюють відповідно 0,39 Å; 0,74 Å; 0,84 Å. 

Координаційне число

Критичне відношення радіусів

Геометричне розташування координованих груп

2

-

Пряма лінія

3

0,15

Рівносторонній трикутник

4

0,22

Тетраедр

6

0,41

Октаедр

8

0,73

Куб

View this question

Які з наведених нижче властивостей притаманні жорстким основам?

  1. високі значення електронегативності,
  2. важко окислюються.
  3. великі розміри,
  4. низька поляризаційна здатність,
  5. малі радіуси 
  6. висока поляризаційна здатність 
  7. здатні відносно легко окислюватись
  8. низькі значення електронегативностей
View this question

Для одного й того ж самого катіона (комплексоутворювач) та однакових аніонах (лігандах) при однакових міжатомних відстанях катіон–аніон розщеплення тетраедричним полем Δt  складає приблизно половину величини розщеплення октаедричним полем Δо.

0%
0%
View this question

Want instant access to all verified answers on distedu.ukma.edu.ua?

Get Unlimited Answers To Exam Questions - Install Crowdly Extension Now!

Browser

Add to Chrome