logo

Crowdly

Browser

Add to Chrome

Координаційна хімія

Looking for Координаційна хімія test answers and solutions? Browse our comprehensive collection of verified answers for Координаційна хімія at distedu.ukma.edu.ua.

Get instant access to accurate answers and detailed explanations for your course questions. Our community-driven platform helps students succeed!

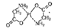
Вкажіть скорочене позначення ліганду 

View this question

Вкажіть дентатність та донорні атоми ліганда

View this question

 Який тип ізомерії є наслідком різного просторового розташування донорних атомів або хелатних колець навколо центрального атому? 

 

View this question

Найбільш характерна відмінність оптичних ізомерів полягає в їх не здатності обертати в протилежних напрямках площину поляризації променя площинно поляризованого світла.

50%
50%
View this question

Координаційні сполуки, що мають однаковий хімічний склад і перетворюються одна в одну шляхом перестановки лігандів, називаються

View this question

Центральний атом з координаційним числом 4 може мати просторову конфігурацію...

View this question

Дві молекули, які являються оптичним ізомерами звуться енантіомерами або оптичними антиподами.

100%
0%
View this question

Вкажіть назву органічної сполуки-ліганду   

View this question

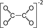
Який тип ізомерії проявляють сполуки  та ?

View this question

До якого типу геометричної ізомерії відносяться наступні координаційні сполуки?

View this question

Want instant access to all verified answers on distedu.ukma.edu.ua?

Get Unlimited Answers To Exam Questions - Install Crowdly Extension Now!

Browser

Add to Chrome