logo

Crowdly

Browser

Add to Chrome

Органічна хімія з основами біохімії. Частина 1

Looking for Органічна хімія з основами біохімії. Частина 1 test answers and solutions? Browse our comprehensive collection of verified answers for Органічна хімія з основами біохімії. Частина 1 at distedu.ukma.edu.ua.

Get instant access to accurate answers and detailed explanations for your course questions. Our community-driven platform helps students succeed!

В результаті міжмолекулярної дегідратації пропанола-1 утворюється...

1. Пропаналь

2. Пропанон

3. Пропен

4. Дипропіловий етер

5. Пропіловий естер пропанової кислоти

0%
0%
0%
0%
View this question

Сполука  С7Н8О (1) не  дає  забарвлення з розчином FeCl3 , але розчиняється в водному розчині лугу. При окисненні ця сполука утворює бензойну кислоту. Визначте будову сполуки С7Н8О  та напишіть реакції її взаємодії з металічним натрієм; водним розчином NaOH; оцтовою кислотою в присутності  Н24; пентахлоридом фосфору.

Сполукою 1 є 

 

 

0%
0%
0%
0%
View this question

З гідроксидом натрію взаємодіє...

0%
0%
0%
View this question

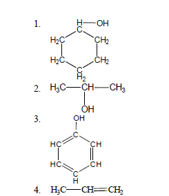
Яку з цих сполук можна ідентифікувати за допомогою ферум (ІІІ) хлориду?

0%
0%
0%
0%
0%
View this question

Встановіть відповідність вихідних та кінцевих продуктів реакції окислення спиртів ...

View this question

Визначте, які алкіни будуть взаємодіяти з аміачним розчином оксиду аргентуму.

Може бути декілька вірних відповідей

0%
0%
0%
0%
0%
View this question

Визначте будову спогуки Г

View this question

Яка будова алкену А?

0%
0%
0%
0%
View this question

Бут-2-ен можна отримати дією спиртового розчину лугу на

View this question

Визначте сполуку Б в схемі перетворень:

View this question

Want instant access to all verified answers on distedu.ukma.edu.ua?

Get Unlimited Answers To Exam Questions - Install Crowdly Extension Now!

Browser

Add to Chrome