Looking for Вища математика 1А 24/25 Вишневецький О. Л. test answers and solutions? Browse our comprehensive collection of verified answers for Вища математика 1А 24/25 Вишневецький О. Л. at dl2022.khadi-kh.com.
Get instant access to accurate answers and detailed explanations for your course questions. Our community-driven platform helps students succeed!
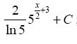
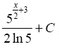
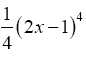
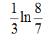
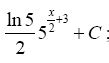
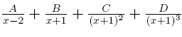
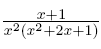
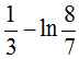
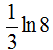
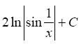
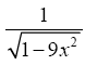
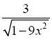
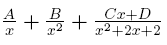
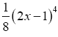
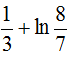
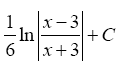
Знайти невизначений інтеграл