logo

Crowdly

Browser

Add to Chrome

Вища математика (1 Т, ТП, ТПТ) 2 семестр 24/25 н.р.

Looking for Вища математика (1 Т, ТП, ТПТ) 2 семестр 24/25 н.р. test answers and solutions? Browse our comprehensive collection of verified answers for Вища математика (1 Т, ТП, ТПТ) 2 семестр 24/25 н.р. at dl2022.khadi-kh.com.

Get instant access to accurate answers and detailed explanations for your course questions. Our community-driven platform helps students succeed!

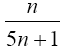
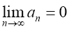
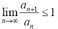
Встановити відповідність:

View this question

View this question

0%
100%
0%
0%
0%
View this question

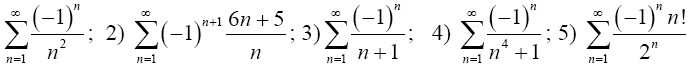
Який з даних рядів є умовно збіжний?

0%
0%
0%
0%
0%
View this question

View this question

0%
0%
0%
0%
0%
View this question

0%
0%
0%
0%
0%
View this question

0%
0%
0%
0%
0%
View this question

0%
0%
0%
100%
0%
View this question

0%
0%
0%
0%
0%
View this question

Want instant access to all verified answers on dl2022.khadi-kh.com?

Get Unlimited Answers To Exam Questions - Install Crowdly Extension Now!

Browser

Add to Chrome