logo

Crowdly

Browser

Add to Chrome

Основи статики споруд

Looking for Основи статики споруд test answers and solutions? Browse our comprehensive collection of verified answers for Основи статики споруд at dl.kfk.sumdu.edu.ua.

Get instant access to accurate answers and detailed explanations for your course questions. Our community-driven platform helps students succeed!

За рахунок якого внутрішнього зусилля визначається переміщення в балках і рамах?

0%
0%
0%
View this question

При якій кількості опорних зв’язків ферма вважається статично визначеною?

0%
0%
0%
View this question

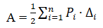
Яка формула відповідає роботі системи зовнішніх сил?

0%
100%
0%
View this question

Скільки канонічних рівнянь записується для заданої статично невизначеної системи?

100%
0%
0%
View this question

У якому випадку вантажним поясом ферми є нижній пояс?

100%
0%
0%
View this question

Щоб визначити переміщення Δ, необхідно

100%
0%
0%
View this question

За якою формулою визначаються розпори арки?

0%
0%
100%
View this question

Want instant access to all verified answers on dl.kfk.sumdu.edu.ua?

Get Unlimited Answers To Exam Questions - Install Crowdly Extension Now!

Browser

Add to Chrome