logo

Crowdly

Browser

Add to Chrome

ВСТУП-2025. ФАХОВИЙ МОЛОДШИЙ БАКАЛАВР

Looking for ВСТУП-2025. ФАХОВИЙ МОЛОДШИЙ БАКАЛАВР test answers and solutions? Browse our comprehensive collection of verified answers for ВСТУП-2025. ФАХОВИЙ МОЛОДШИЙ БАКАЛАВР at dl.kfk.sumdu.edu.ua.

Get instant access to accurate answers and detailed explanations for your course questions. Our community-driven platform helps students succeed!

Від прямої АВ в даній півплощині відкладено <ВАС = 40°, <ВА= 80°. Знайти <САD

View this question

Висоти паралелограма дорівнюють 4 і 6, а його периметр – 40. Знайти площу паралелограма

View this question

Звільнити дріб від ірраціональності в знаменнику:

0%
0%
0%
View this question

Знайти значення виразу: 14 - 7 · х, якщо х = 2

View this question

Подайте степінь у вигляді добутку: (аb)4

View this question

Подайте степінь у вигляді добутку: (аbс)10

0%
0%
0%
0%
View this question

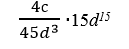
Спростити вираз:

0%
0%
0%
View this question

Чому дорівнює синус кута, якщо його косинус дорівнює 1?

0%
0%
0%
View this question

На перший склад падає наголос у слові:

View this question

Яка величина розгорнутого кута?

View this question

Want instant access to all verified answers on dl.kfk.sumdu.edu.ua?

Get Unlimited Answers To Exam Questions - Install Crowdly Extension Now!

Browser

Add to Chrome