logo

Crowdly

Browser

Add to Chrome

Вища математика

Looking for Вища математика test answers and solutions? Browse our comprehensive collection of verified answers for Вища математика at dl.kfk.sumdu.edu.ua.

Get instant access to accurate answers and detailed explanations for your course questions. Our community-driven platform helps students succeed!

Знайдіть Δ3 для системи лінійних рівнянь

0%
0%
0%
0%
View this question

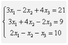
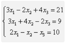
Знайдіть Δ2 для системи лінійних рівнянь

0%
100%
0%
0%
View this question

Оберіть правильну відповідь для системи лінійних рівнянь

0%
0%
0%
0%
View this question

Знайдіть Δ1 для системи лінійних рівнянь

0%
0%
0%
0%
View this question

Розв'язати систему рівнянь

0%
0%
0%
0%
View this question

Розв'язати систему рівнянь

0%
0%
0%
100%
View this question

Обчислити визначник

0%
0%
0%
100%
View this question

Розв'язати систему рівнянь

0%
100%
0%
0%
View this question

Розв'язати систему рівнянь

100%
0%
0%
0%
View this question

Знайдіть Δ2 для системи лінійних рівнянь

0%
100%
0%
0%
View this question

Want instant access to all verified answers on dl.kfk.sumdu.edu.ua?

Get Unlimited Answers To Exam Questions - Install Crowdly Extension Now!

Browser

Add to Chrome