logo

Crowdly

Browser

Add to Chrome

Технологія машинобудування

Looking for Технологія машинобудування test answers and solutions? Browse our comprehensive collection of verified answers for Технологія машинобудування at dl.kfk.sumdu.edu.ua.

Get instant access to accurate answers and detailed explanations for your course questions. Our community-driven platform helps students succeed!

Які Ви знаєте методи розрахунку припусків на механічну обробку заготовок?

Знайдіть хибний вислів

 

View this question

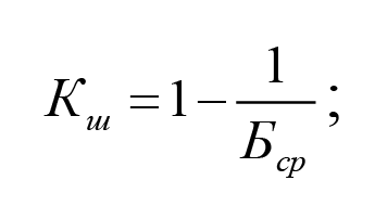
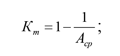
Встановіть вірну відповідність між коефіцієнтами технологічності та формулами для їх визначення

View this question

Формула 

дозволяє розрахувати:

View this question

Визначте припуск на чорнову обробку при двохстадійній обробці поверхні, якщо

загальний припуск Zзаг = 5 мм

0%
0%
0%
100%
View this question

Максимальний припуск це...

0%
0%
50%
View this question

Дайте визначення одиничному техпроцесу

View this question

Дайте визначення перспективному  техпроцесу

View this question

Припуск, що видаляють з поверхні обертання називається

0%
0%
0%
100%
View this question

До яких показників технологічності відносять коефіцієнт уніфікації поверхонь

0%
0%
0%
View this question

Розрахунковий припуск це...

0%
0%
0%
View this question

Want instant access to all verified answers on dl.kfk.sumdu.edu.ua?

Get Unlimited Answers To Exam Questions - Install Crowdly Extension Now!

Browser

Add to Chrome