logo

Crowdly

Browser

Add to Chrome

1 Комп`ютерна дискретна математика

Looking for 1 Комп`ютерна дискретна математика test answers and solutions? Browse our comprehensive collection of verified answers for 1 Комп`ютерна дискретна математика at dl.nure.ua.

Get instant access to accurate answers and detailed explanations for your course questions. Our community-driven platform helps students succeed!

Знайти

карту Карно для функції, що задана такими номерами конституент одиниці 

left curly bracket space 2 comma   3 comma   7 comma   11 comma   15 comma   18 comma   19 comma   22 comma   23 comma   26 comma   27 comma   30 comma   31 space right curly bracket

0%
0%
0%
100%
0%
View this question

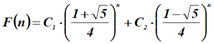
Обчисліть B subscript n, якщо , при n=4:

0%
0%
0%
100%
0%
View this question

Якому

із наведених нижче виразів тотожний вираз

?

0%
100%
0%
0%
View this question

Укажіть правильний пріоритет операцій в алгебрі множин

0%
0%
0%
100%
View this question

Побудувати карту Карно для булевої функції left parenthesis x logical or y logical or z logical or t right parenthesis logical and left parenthesis x with bar on top logical or y logical or z logical or t right parenthesis logical and left parenthesis x with bar on top logical or y with bar on top logical or z with bar on top logical or t right parenthesis logical and left parenthesis x logical or y logical or z with bar on top logical or t with bar on top right parenthesis

100%
0%
0%
0%
0%
View this question

Виберіть правильні тотожності.

0%
0%
100%
100%
View this question

Яке із тверджень невірне?

0%
100%
0%
0%
View this question

З наведених виразів виберіть те, яке є тотожнім перетворенням заданого:

0%
0%
0%
100%
0%
View this question

0%
0%
0%
0%
100%
View this question

Яке з

наступних тверджень не є висловлюванням?

0%
100%
0%
0%
View this question

Want instant access to all verified answers on dl.nure.ua?

Get Unlimited Answers To Exam Questions - Install Crowdly Extension Now!

Browser

Add to Chrome