logo

Crowdly

Browser

Add to Chrome

Вища математика

Looking for Вища математика test answers and solutions? Browse our comprehensive collection of verified answers for Вища математика at dl.nure.ua.

Get instant access to accurate answers and detailed explanations for your course questions. Our community-driven platform helps students succeed!

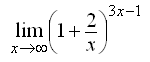
Обчислити границю функції: 

View this question

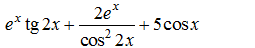
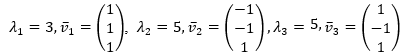
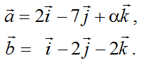
Обчислити похідну функції

View this question

Обчислити границю функції: 

View this question
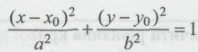
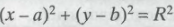
Визначити рівняння еліпсу
View this question

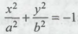
Визначити назву поверхні другого порядку за її зображенням

View this question

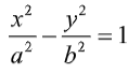
Визначити рівняння кривої другого порядку за її графіком

View this question

Визначити назву поверхні другого порядку за її зображенням

View this question
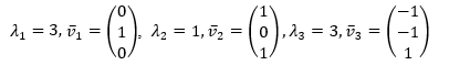
Визначити, яка множина точок задовольняє задане рівняння другого порядку на площині XOY.

View this question

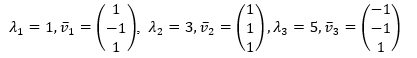
View this question

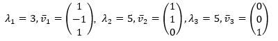
View this question

Want instant access to all verified answers on dl.nure.ua?

Get Unlimited Answers To Exam Questions - Install Crowdly Extension Now!

Browser

Add to Chrome