logo

Crowdly

Browser

Add to Chrome

Алгоритми і структури даних

Looking for Алгоритми і структури даних test answers and solutions? Browse our comprehensive collection of verified answers for Алгоритми і структури даних at do.ipo.kpi.ua.

Get instant access to accurate answers and detailed explanations for your course questions. Our community-driven platform helps students succeed!

Якій нотації відповідає таке визначення?

there exists left parenthesis c subscript 1 comma c subscript 2 greater than 0 right parenthesis comma x subscript 0 colon for all left parenthesis x greater than x subscript 0 right parenthesis space vertical line c subscript 1 f left parenthesis x right parenthesis vertical line < vertical line g left parenthesis x right parenthesis vertical line < vertical line c subscript 2 f left parenthesis x right parenthesis vertical line

0%
0%
0%
0%
0%
View this question

Якій нотації відповідає таке визначення?

there exists left parenthesis c greater than 0 right parenthesis comma x subscript 0 colon for all left parenthesis x greater than x subscript 0 right parenthesis vertical line g left parenthesis x right parenthesis vertical line greater or equal than vertical line c f left parenthesis x right parenthesis vertical line

View this question

Якій нотації відповідає таке співвідношення функцій?

0%
0%
0%
0%
0%
View this question
Префіксні дерева використовуються для
View this question

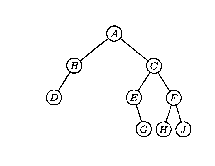
Вкажіть порядок відвідання вершин при прямому обході зображеного дерева великими латинськими літерами без проміжків

View this question
Для представлення орієнтованого графа який має N вершин і K ребер за допомогою матриці суміжності
View this question
Для представлення графів використовують ...
View this question
Лінійний, послідовний пошук може застосовуватися до графів
0%
0%
View this question
Двійковиий (бінарний) пошук може застосовуватися до графів
0%
100%
View this question

Пошук BFS і DFS є алгоритмами обходу графів

100%
0%
View this question

Want instant access to all verified answers on do.ipo.kpi.ua?

Get Unlimited Answers To Exam Questions - Install Crowdly Extension Now!

Browser

Add to Chrome