logo

Crowdly

Browser

Add to Chrome

Фізика 1

Looking for Фізика 1 test answers and solutions? Browse our comprehensive collection of verified answers for Фізика 1 at do.ipo.kpi.ua.

Get instant access to accurate answers and detailed explanations for your course questions. Our community-driven platform helps students succeed!

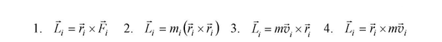
Вкажіть правильний запис формули для моменту імпульсу тіла щодо точки.

0%
0%
0%
0%
View this question

View this question

Куля котиться горизонтальною поверхнею. Вкажіть формулу, яка виражає повну кінетичну енергію цієї кулі

0%
0%
0%
0%
View this question

0%
0%
0%
0%
View this question

View this question

0%
0%
0%
0%
View this question

Гармонічні коливання матеріальної точки описуються рівнянням x=0,07Cos(πt\4+π\3). Визначити координати точки через 2 с після початку відліку часу. Округлити до сотих.

View this question

View this question

View this question

View this question

Want instant access to all verified answers on do.ipo.kpi.ua?

Get Unlimited Answers To Exam Questions - Install Crowdly Extension Now!

Browser

Add to Chrome