logo

Crowdly

Browser

Add to Chrome

Фізика 1

Looking for Фізика 1 test answers and solutions? Browse our comprehensive collection of verified answers for Фізика 1 at do.ipo.kpi.ua.

Get instant access to accurate answers and detailed explanations for your course questions. Our community-driven platform helps students succeed!

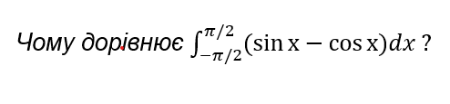
View this question

View this question

0%
0%
0%
View this question

0%
0%
0%
View this question

Куля котиться горизонтальною поверхнею. Вкажіть формулу, яка виражає повну кінетичну енергію цієї кулі

100%
0%
0%
View this question

100%
0%
0%
View this question

Два вектори  і   лежать в площині, яка перпендикулярна до площини рисунка

Куди спрямований векторний добуток :

1)  до нас перпендикулярно площині рисунка

2)  від нас перпендикулярно площині рисунка

3) вздовж вектора  в площині рисунка

4) вздовж  вектора  в площині рисунка

5) вздовж вектора  в площині рисунка ?

0%
50%
0%
0%
View this question

View this question

View this question

View this question

Want instant access to all verified answers on do.ipo.kpi.ua?

Get Unlimited Answers To Exam Questions - Install Crowdly Extension Now!

Browser

Add to Chrome