logo

Crowdly

Browser

Add to Chrome

Фізика 1

Looking for Фізика 1 test answers and solutions? Browse our comprehensive collection of verified answers for Фізика 1 at do.ipo.kpi.ua.

Get instant access to accurate answers and detailed explanations for your course questions. Our community-driven platform helps students succeed!

0%
0%
0%
0%
View this question

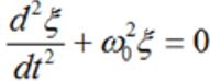
Диференційне рівняння коливань має вигляд

Які коливання можна описати за  допомогою такого рівняння?

0%
0%
0%
View this question

0%
0%
0%
0%
View this question

0%
0%
0%
0%
View this question

View this question

0%
0%
0%
0%
View this question

0%
0%
0%
0%
0%
View this question

View this question

View this question

0%
0%
0%
0%
View this question

Want instant access to all verified answers on do.ipo.kpi.ua?

Get Unlimited Answers To Exam Questions - Install Crowdly Extension Now!

Browser

Add to Chrome