logo

Crowdly

Browser

Add to Chrome

ІНФОРМАЦІЙНІ ТЕХНОЛОГІЇ ОБРОБКИ ЗОБРАЖЕНЬ

Looking for ІНФОРМАЦІЙНІ ТЕХНОЛОГІЇ ОБРОБКИ ЗОБРАЖЕНЬ test answers and solutions? Browse our comprehensive collection of verified answers for ІНФОРМАЦІЙНІ ТЕХНОЛОГІЇ ОБРОБКИ ЗОБРАЖЕНЬ at do.ipo.kpi.ua.

Get instant access to accurate answers and detailed explanations for your course questions. Our community-driven platform helps students succeed!

До якого методу фільтрації відносяться дані фільтри?

  • усереднюючі фільтри

  • фільтри на порядкових статистиках

  • адаптивні фільтри

View this question

Нехай зображення має наступний вигляд

Яке з зображень є результатом сегментації на області?

View this question

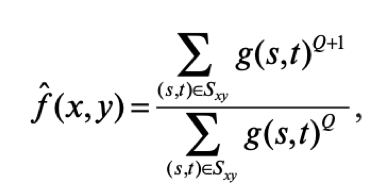
Що описує дана формула?

View this question

Оскільки оператор Лапласа по суті є першою похідною, його застосування підчеркреслює розриви рівнів яскравості на зображенні та подавляє ділянки зі слабкими змінами яскравості

0%
100%
View this question

Нехай зображення має наступний вигляд

Яке з зображень є результатом сегментації за контурами?

0%
0%
0%
View this question

фільтрація в частотній області здійснюєтся в наступному порядку:

View this question

При фільтрації зображень

View this question

Основна функція медіанного фільтра полягає в заміні відмінного від фону значення пікселя на інше, більш близьке до його сусідів.

100%
0%
View this question

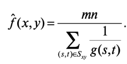
встановити відповідності між формулою та назвою фільтру

View this question

Динамічний діапазон системи реєстрації зображень визначається як відношення максимально можливого значення виміряної яскравості до мінімального рівня яскравості, що виявляється цією системою

100%
0%
View this question

Want instant access to all verified answers on do.ipo.kpi.ua?

Get Unlimited Answers To Exam Questions - Install Crowdly Extension Now!

Browser

Add to Chrome