logo

Crowdly

Browser

Add to Chrome

Алгоритми та структури даних. Частина 2. Структури даних

Looking for Алгоритми та структури даних. Частина 2. Структури даних test answers and solutions? Browse our comprehensive collection of verified answers for Алгоритми та структури даних. Частина 2. Структури даних at do.ipo.kpi.ua.

Get instant access to accurate answers and detailed explanations for your course questions. Our community-driven platform helps students succeed!

В хеш-таблицю, яка має довжину m=11, додається послідовність ключів 10, 22, 31, 4, 15, 28, 17, 88, 59. Хеш-таблиця використовує відкриту адресацію із додатковою хеш-функцією h'(k) = k mod m та метод лінійного дослідження.

Скільки заповнених комірок буде переглянуто при додаванні останнього елементу 59?

View this question
View this question
Оберіть задачі, які відносяться до класу P
50%
50%
100%
50%
50%
100%
50%
50%
View this question
Які з наведених нижче алгоритмів сортування потребують використання додаткової пам'яті для своєї роботи (потрібно створити тимчасовий масив для роботи алгоритму тощо)?
View this question

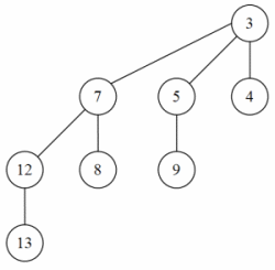
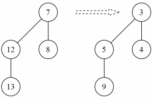
Що відбудеться при видаленні вузла (12) з нижче наведеного бінарного дерева пошуку? Оберіть всі можливі варіанти.

50%
100%
50%
50%
View this question
Розглянемо зв'язаний неорієнтований граф G, ребра якого мають певні ваги. Замінимо тепер кожну вагу ce ребра на -ce і позначимо отриманий граф G'. Тепер запустимо алгоритми Прима та Крускала для пошуку мінімального кістякового дерева на графі G'. Що буде отримано зрештою?
View this question
Чому дорівнює час доступу до елементу хеш-таблиці, в якій використовується метод ланцюгів для усунення колізій, в найгіршому випадку? Тут n - це кількість записаних елементів хеш-таблиці, m - кількість комірок таблиці.
100%
0%
0%
0%
0%
View this question

Оберіть правильний варіант об'єднання двох біноміальних дерев, що наведені нижче, в рамках операції злиття біноміальних пірамід

0%
0%
0%
100%
View this question
Вкажіть нижню межу часу роботи алгоритмів сортування, яка засновані на попарному порівнянні елементів
0%
0%
100%
0%
View this question
Вкажіть об’єм додаткової пам’яті необхідний для методу сортування злиттям під час обробки масиву довжиною n.
View this question

Want instant access to all verified answers on do.ipo.kpi.ua?

Get Unlimited Answers To Exam Questions - Install Crowdly Extension Now!

Browser

Add to Chrome