logo

Crowdly

Browser

Add to Chrome

24.25 Мат.методи та моделі в.п.- Щебликіна О.В.

Looking for 24.25 Мат.методи та моделі в.п.- Щебликіна О.В. test answers and solutions? Browse our comprehensive collection of verified answers for 24.25 Мат.методи та моделі в.п.- Щебликіна О.В. at do.kart.edu.ua.

Get instant access to accurate answers and detailed explanations for your course questions. Our community-driven platform helps students succeed!

Що позначають букви а, д, е, з на малюнку:

View this question

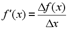
У якому методі для обчислення похідних на кожному кроці пошуку використовується чисельне диференціювання за формулою

0%
0%
0%
0%
View this question
Другий етап сіткового моделювання:

View this question
Перший етап сіткового моделювання:

View this question
Що позначають букви а, б, е, з на малюнку:

0%
0%
0%
0%
View this question
Що позначають букви д, е, ж, и на малюнку:

0%
0%
0%
0%
0%
0%
0%
0%
0%
View this question
Що позначають букви а, д, е, з на малюнку:

0%
0%
0%
0%
0%
0%
0%
0%
0%
View this question
Що позначають букви в, г, ж, і на малюнку:

View this question
Критерій W вигляду називається:
0%
0%
0%
0%
View this question
Критерій W вигляду називається:
View this question

Want instant access to all verified answers on do.kart.edu.ua?

Get Unlimited Answers To Exam Questions - Install Crowdly Extension Now!

Browser

Add to Chrome