logo

Crowdly

Browser

Add to Chrome

2025/2026-1-денна (м)-Теорія оптимальних систем автоматичного керування-Хісматулін В.Ш. керування

Looking for 2025/2026-1-денна (м)-Теорія оптимальних систем автоматичного керування-Хісматулін В.Ш. керування test answers and solutions? Browse our comprehensive collection of verified answers for 2025/2026-1-денна (м)-Теорія оптимальних систем автоматичного керування-Хісматулін В.Ш. керування at do.kart.edu.ua.

Get instant access to accurate answers and detailed explanations for your course questions. Our community-driven platform helps students succeed!

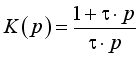
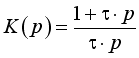
Вкажіть передаточну функцію ланки повільного реагування
View this question
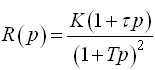
На яку область частот розімкненої некоректованої системи впливають послідовні пропорційно-інтегральні коректуючи пристрої?
View this question
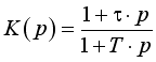
Поясніть назву «пропорційно-інтегральна корекція»
View this question
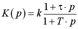
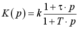
У яких випадках застосовують пропорційно-інтегральну корекцію?
0%
0%
0%
View this question
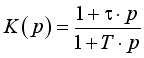
Вкажіть передаточну функцію ізодромної ланки
0%
0%
0%
View this question
Порядок астатизму САК визначається:
View this question
На який показник якості функціонування САК в перехідному режимі та як впливає запас стійкості за фазою φз?
0%
0%
0%
100%
0%
View this question
Динамічною називається усталена помилка САУ:
0%
0%
0%
0%
View this question
Розімкнена система має передаточну функцію

Вказати порядок астатизму за динамічною помилкою
View this question
Відомо, що в САУ інерційна помилка постійна та не дорівнює нулю. Це означає, що САУ
0%
0%
0%
0%
View this question

Want instant access to all verified answers on do.kart.edu.ua?

Get Unlimited Answers To Exam Questions - Install Crowdly Extension Now!

Browser

Add to Chrome