logo

Crowdly

Browser

Add to Chrome

2025/2026 - 1,2 семестр - денна/заочна - Теоретична механіка (МЕФ, Будівельний) - Тіщенко В.С.

Looking for 2025/2026 - 1,2 семестр - денна/заочна - Теоретична механіка (МЕФ, Будівельний) - Тіщенко В.С. test answers and solutions? Browse our comprehensive collection of verified answers for 2025/2026 - 1,2 семестр - денна/заочна - Теоретична механіка (МЕФ, Будівельний) - Тіщенко В.С. at do.kart.edu.ua.

Get instant access to accurate answers and detailed explanations for your course questions. Our community-driven platform helps students succeed!

Відносний рух – це ...

0%
0%
0%
0%
0%
View this question

Закон плоского руху тіла

має вигляд

0%
0%
0%
0%
0%
View this question
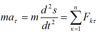
При поступальному русі сили інерції точок твердого тіла приводяться до:
0%
0%
0%
0%
0%
View this question

Сформулюйте третій закон динаміки 

0%
0%
0%
0%
0%
View this question

Внутрішніми  називають сили, які діють на точки або тіла механічної системи з боку точок або тіл..

0%
0%
0%
0%
0%
View this question
Динаміка - це розділ теоретичної механіки, в якому вивчаються закони руху матеріальних тіл…
0%
0%
0%
0%
0%
View this question

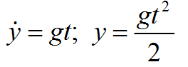
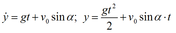
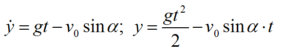
Рівняння, які

характеризують вільне падіння тіла (точки) мають вигляд:

0%
0%
0%
0%
0%
View this question

Імпульс змінних сил  визначається…

0%
0%
0%
0%
0%
View this question

На рисунку знаком питання

показана  

0%
0%
0%
0%
0%
View this question

Прискорення Коріоліса  характеризує

0%
0%
0%
0%
0%
View this question

Want instant access to all verified answers on do.kart.edu.ua?

Get Unlimited Answers To Exam Questions - Install Crowdly Extension Now!

Browser

Add to Chrome