logo

Crowdly

Browser

Add to Chrome

Людинно-машинна взаємодія (2025/Горбова О.В.)

Looking for Людинно-машинна взаємодія (2025/Горбова О.В.) test answers and solutions? Browse our comprehensive collection of verified answers for Людинно-машинна взаємодія (2025/Горбова О.В.) at do.nmu.org.ua.

Get instant access to accurate answers and detailed explanations for your course questions. Our community-driven platform helps students succeed!

Мета цього аспекту: Створити інтерфейс, який зручний у реальному середовищі — враховує положення користувача, тип пристрою, розмір екрана, навколишнє освітлення, жести, тощо.

View this question

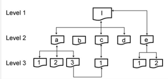
Вкажіть до якого концептуального дизайну належить зображення на рисунку

Вкажіть до якого концептуального дизайну належить зображення на рисунку

View this question

UI-дизайн – це

View this question

Вимоги до UX дизайну

0%
0%
View this question

Важіть метод: популярний метод висування творчих ідей у процесі розв'язування наукової чи технічної проблеми, сеанси якого стимулюють творче мислення.  

View this question

Фахівець розглядає систему, використовуючи здоровий глузд та/або керівні принципи - це 

View this question

Вкажіть фактор юзабіліті, якому відповідає вислів "Як тільки досвідчений користувач навчився користуватися системою, як швидко він може виконувати поставлені завдання" 

View this question

Мета цього аспекту: Зробити спілкування між користувачем і системою зрозумілим, природним і недвозначним.

View this question

По який аспект вказаний вислів: "це аспект, який враховує контекст фізичної взаємодії користувача з системою: де, як і за допомогою яких пристроїв відбувається взаємодія."

View this question

До переваг паперових прототипів  відносяться …

0%
View this question

Want instant access to all verified answers on do.nmu.org.ua?

Get Unlimited Answers To Exam Questions - Install Crowdly Extension Now!

Browser

Add to Chrome