logo

Crowdly

Browser

Add to Chrome

Обробка зображень та комп'ютерний зір (Сергєєва)

Looking for Обробка зображень та комп'ютерний зір (Сергєєва) test answers and solutions? Browse our comprehensive collection of verified answers for Обробка зображень та комп'ютерний зір (Сергєєва) at do.nmu.org.ua.

Get instant access to accurate answers and detailed explanations for your course questions. Our community-driven platform helps students succeed!

Що представляють собою змішані пікселі?

0%
0%
0%
0%
View this question

Який метод інтерполяції використовує 16 сусідніх пікселів?

0%
0%
100%
0%
View this question

Що відрізняє рекурентні нейронні мережі від мереж прямого поширення?

0%
0%
0%
0%
View this question

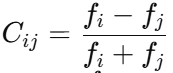
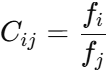
Який із наведених виразів правильно описує контраст між двома елементами зображення?

0%
100%
0%
0%
View this question

У чому полягає головний недолік методу паралелепіпеда?

0%
0%
0%
0%
View this question

Який тип супутникової зйомки вважається активним методом?

0%
0%
0%
100%
View this question

До якого підходу належать методи розпізнавання образів, що ґрунтуються на нормальному законі розподілу даних?

0%
0%
0%
0%
View this question

Що є основою кластеризації k-середніх?

0%
0%
0%
100%
View this question

Просторовий підхід до обробки зображень передбачає:

0%
0%
0%
0%
View this question

Яка формула відповідає степеневому перетворенню?

0%
0%
0%
0%
View this question

Want instant access to all verified answers on do.nmu.org.ua?

Get Unlimited Answers To Exam Questions - Install Crowdly Extension Now!

Browser

Add to Chrome