logo

Crowdly

Browser

Add to Chrome

Фізика для спеціальностей 015, 161, 185 ФПНТ, 091, 183, 263 ІП (Титаренко В.В.)

Looking for Фізика для спеціальностей 015, 161, 185 ФПНТ, 091, 183, 263 ІП (Титаренко В.В.) test answers and solutions? Browse our comprehensive collection of verified answers for Фізика для спеціальностей 015, 161, 185 ФПНТ, 091, 183, 263 ІП (Титаренко В.В.) at do.nmu.org.ua.

Get instant access to accurate answers and detailed explanations for your course questions. Our community-driven platform helps students succeed!

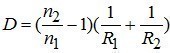
Укажіть правильну формулу. Формула, за якою визначається оптична сила тонкої лінзи має вид:

View this question

Укажіть правильне твердження. Якщо промінь світла падає із менш оптично густого середовища в більш оптично густе середовище, то …

0%
0%
0%
0%
View this question

Запишіть правильну відповідь з точністю до сотих в одиницях системи SI.

На якій відстані від збірної лінзи знаходиться предмет, якщо його уявне зображення отримане на відстані 69 см від лінзи? Фокусна відстань лінзи 32 см.

View this question

Вкажіть правильну відповідь. При якому куті падіння світловий промінь може проходити скрізь прозоре середовище без заломлення?

View this question

Вкажіть найбільш правильне закінчення формулювання. Оптично більш густим є середовище, у якого:

View this question

Вкажіть правильну формулу. Оптична різниця шляху двох променів з урахуванням властивостей середовищ, в яких світлові промені поширюються, визначається за формулою:

0%
0%
0%
0%
View this question

Укажіть правильну відповідь. На рисунку показаний хід променю на границі розділу двох середовищ. Яке співвідношення між показниками заломлення цих середовищ?

ris

0%
0%
0%
View this question

Визначити кількість витків котушки, в якій при швидкості зміни магнітного поля 1 Вб/с в ній наводиться е.р.с. індукції 200 В.

View this question

Укажіть правильну відповідь.

Як змінюється напруженість магнітного поля в центрі колового витка у разі зменшення і сили струму, і радіусу витка в два рази?

View this question

Укажіть правильну відповідь .

Дротовою котушкою йде електричний струм.

ris

Яка з магнітних стрілок правильно показує напрямок магнітних силових ліній?

View this question

Want instant access to all verified answers on do.nmu.org.ua?

Get Unlimited Answers To Exam Questions - Install Crowdly Extension Now!

Browser

Add to Chrome