logo

Crowdly

Browser

Add to Chrome

Моделювання фінансово-економічних систем

Looking for Моделювання фінансово-економічних систем test answers and solutions? Browse our comprehensive collection of verified answers for Моделювання фінансово-економічних систем at e-learning.lnu.edu.ua.

Get instant access to accurate answers and detailed explanations for your course questions. Our community-driven platform helps students succeed!

Які інвестиційні ресурси дають можливість економити на податках?
100%
0%
0%
0%
0%
0%
View this question
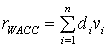
Вкажіть формулу, за якою ставка дисконтування розраховується згідно методу середньозваженої вартості капіталу.
0%
0%
100%
0%
View this question

Метод послідовних наближень для моделі часової оптимізації використовують оскільки....

0%
0%
100%
0%
View this question

Із яким показником ефективності інвестиційного проекту слід порівнювати середньозважену вартість інвестиційного капіталу при прийнятті рішення щодо фінансування інвестиційної діяльності?

0%
100%
0%
0%
View this question
Яка із вказаних функцій є цільовою функцією моделі часової оптимізації інвестиційного портфеля?
0%
100%
0%
View this question

Який із показників не можна  використовувати для ранжування інвестиційних

проектів?

100%
0%
0%
0%
View this question
Вкажіть формулу, за якою ставка дисконтування розраховується із використанням премії за ризик.
0%
0%
0%
0%
100%
View this question
Який економічний зміст показника PBP проекту?
0%
0%
100%
0%
View this question
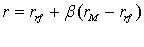
Вкажіть формулу, за якою ставка дисконтування розраховується згідно методу МОКА.
0%
0%
0%
0%
100%
View this question

Want instant access to all verified answers on e-learning.lnu.edu.ua?

Get Unlimited Answers To Exam Questions - Install Crowdly Extension Now!

Browser

Add to Chrome