logo

Crowdly

Browser

Add to Chrome

Нечітка логіка

Looking for Нечітка логіка test answers and solutions? Browse our comprehensive collection of verified answers for Нечітка логіка at e-learning.lnu.edu.ua.

Get instant access to accurate answers and detailed explanations for your course questions. Our community-driven platform helps students succeed!

Нечіткий інтервал – це:

View this question

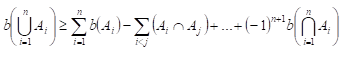
Що означає вираз 

0%
0%
0%
0%
0%
View this question

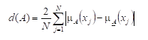
Що означає вираз 

0%
0%
0%
0%
0%
View this question

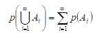
Що означає вираз 

View this question

Підмножина,

функція приналежності для кожного елемента якої μ(х)=1

називається:

0%
0%
0%
0%
View this question

Визначити

значення міри правдоподібності для підмножини

{х34}

зображеної на рисунку 

View this question

Визначити

множину (відрізок) найближчу до нечіткої множини, заданої на рисунку 

View this question

Що визначає функціонал 

0%
0%
0%
0%
View this question

Визначити

значення міри правдоподібності для підмножини

{х34}

зображеної на рисунку 

0%
0%
0%
0%
View this question

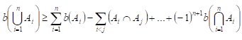
Що означає вираз 

0%
0%
0%
0%
0%
View this question

Want instant access to all verified answers on e-learning.lnu.edu.ua?

Get Unlimited Answers To Exam Questions - Install Crowdly Extension Now!

Browser

Add to Chrome