logo

Crowdly

Browser

Add to Chrome

СА Бакалаврат. Сем. 6. "Машинне навчання"

Looking for СА Бакалаврат. Сем. 6. "Машинне навчання" test answers and solutions? Browse our comprehensive collection of verified answers for СА Бакалаврат. Сем. 6. "Машинне навчання" at e-learning.lnu.edu.ua.

Get instant access to accurate answers and detailed explanations for your course questions. Our community-driven platform helps students succeed!

Модель задачі класифікації може бути представленою у вигляді
View this question

Дано тренувальну вибірку з 10 об'єктів. Після побудови модеді бінарної класифікації було проведено перевірку моделі на тренувальній вибірці та обчислено confusion

matrix:

У скількох випадка метод НЕ правильно класифікував об'єкти навчальної вибірки

View this question
Для підвищення якості бінарної класифікаціх, які з умов мають виконатися
0%
0%
View this question
Дано матрицю "об'єкт-ознака"  тренувальної вибірки

Величина  n - це

0%
0%
0%
View this question

Вкажіть формулу, що використовують для визначення кількості обчислень коефіцієнта подібності між n об'єктами тренувальної вибірки

View this question

Нехай – множина кластерів,

Яке розбиття на кластери описують умови, накладені на кластери  ;.

View this question

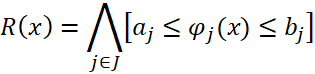
Нехай  - набір ознак деякого об'єкта x тренувальної вибірки. Яка  з формул відповідає логічній закономірності R(x) типу куля

0%
0%
0%
0%
0%
View this question

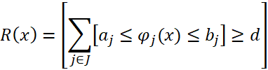
Якщо дужки виду [] - це функція Айверсона, тоді вираз виду 

дає можливість обчислити значення функції

0%
0%
0%
0%
View this question

Формула виду

де pi - ймовірність появи об'єкту i-го класу в тренувальній вибірці, дає можливість обчислити

View this question

Встановіть відповідність між зображенням одиничного кола на площині  та значенням параметра p у формулі відстані Мінковського:

View this question

Want instant access to all verified answers on e-learning.lnu.edu.ua?

Get Unlimited Answers To Exam Questions - Install Crowdly Extension Now!

Browser

Add to Chrome