logo

Crowdly

Browser

Add to Chrome

Теорія обчислень, Алгоритми та структури даних

Looking for Теорія обчислень, Алгоритми та структури даних test answers and solutions? Browse our comprehensive collection of verified answers for Теорія обчислень, Алгоритми та структури даних at e-learning.lnu.edu.ua.

Get instant access to accurate answers and detailed explanations for your course questions. Our community-driven platform helps students succeed!

Функцію, яку можна отримати з найпростіших функцій із застосуванням скінченої кількості операторів суперпозиції і примітивної рекурсії називають
100%
0%
0%
0%
View this question
Алфавіт А складається з 32-ох букв, алфавіт В – з 2-ох букв. Словами якої довжини можна закодувати всі букви алфавіту А в алфавіті В?
0%
11%
11%
78%
View this question
Складність алгоритму швидкого сортування в середньому випадку становить
0%
100%
0%
0%
View this question
Знайти медіану множини {50, 83, 79, 66, 96, 18, 11, 36, 35, 55, 73}. Ввести число
View this question
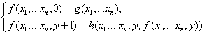
Функцію f, що задається співвідношенням називають:
0%
0%
0%
100%
View this question
Класи складності P та NP
100%
0%
0%
View this question
Рівняння складності деякого алгоритму . Складність цього алгоритму за порядком величини дорівнює
0%
0%
0%
0%
View this question
Структура даних типу „стек” працює за принципом
0%
0%
0%
100%
View this question
Якщо , то:
0%
88%
13%
0%
View this question
Обчислити функцію вибору аргументів . Ввести число
View this question

Want instant access to all verified answers on e-learning.lnu.edu.ua?

Get Unlimited Answers To Exam Questions - Install Crowdly Extension Now!

Browser

Add to Chrome