logo

Crowdly

Browser

Add to Chrome

Теорія алгоритмів

Looking for Теорія алгоритмів test answers and solutions? Browse our comprehensive collection of verified answers for Теорія алгоритмів at e-learning.lnu.edu.ua.

Get instant access to accurate answers and detailed explanations for your course questions. Our community-driven platform helps students succeed!

Що реалізує така машина Тьюрінга, якщо головка знаходиться ліворуч?

View this question
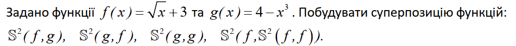
Продемонструвати роботу оператора мінімізації для функції:

f(x1,x2,x3)=x1-x2•x3 при x1=12, x2=3, x3=3.

View this question

Довести примітивну рекурсивність функції  f(x,y)=x-y. Вважаємо, що x>y, a  функція x-1 є примітивно рекурсивною функцією. Продемонструвати на одному прикладі.

View this question

View this question
View this question

View this question

Які два види продукцій можливі в нормальних алгоритмах Маркова?

100%
100%
0%
0%
View this question

Нехай задана початкова конфігурація і програма для деякої машини Тьюрінга:

Яким результатом буде застосування цієї машини до зображеного на стрічці слова?

0%
100%
0%
0%
View this question
View this question

Часткові функції, які отримують з функцій системи σ

 і найпростіших функцій  із застосуванням скінченної кількості операторів

суперпозиції та примітивної рекурсії, називають _____________ відносно

системи σ.

0%
0%
0%
0%
0%
0%
View this question

Want instant access to all verified answers on e-learning.lnu.edu.ua?

Get Unlimited Answers To Exam Questions - Install Crowdly Extension Now!

Browser

Add to Chrome