logo

Crowdly

Browser

Add to Chrome

Macroeconomic Modeling

Looking for Macroeconomic Modeling test answers and solutions? Browse our comprehensive collection of verified answers for Macroeconomic Modeling at e-learning.lnu.edu.ua.

Get instant access to accurate answers and detailed explanations for your course questions. Our community-driven platform helps students succeed!

Establish the equilibrium level of budget deficit BD.
0%
0%
100%
View this question

Build SD model to analyze the following Keynesian model:

Consumption function :  C(t) =

500 + 0.75Yd(t)

Disposable income       : Yd =

Y – Tx

Planned expenditures   :  E(t) = C(t) + I + G

Investment                  

:   I = 200

Government spending  :  G = 1400

Taxes                           

: Tx = 400 + 0.2Y

Income short-run

adjustment              : Δ

Y(t+1) = 0.85 (E(t) – Y(t))

 

Does a rise in autonomous consumption spending or a rise in investment or a rise in government spending by 50 leads to the same impact on equilibrium income Y(t) ?
0%
0%
View this question
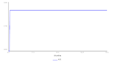
Start with C(t) = 200 + 0.8Y(t), I=150, G=250. Set initial income at the equilibrium level Y*. Derive the dynamic multiplier k(t)=(Y(t) – Y*)/ΔI for a rise in investment of 50 (from t=1).
0%
100%
0%
View this question
For a rise in investment of 50, and a lower value for lambda (adjustment parameter) of 0.4, in comparison to the path with lambda=0.5, the income needs to reach the new equilibrium
0%
0%
100%
View this question
For a rise in investment of 50, and a lower value for lambda (adjustment parameter) of 0.4, what is the new equilibrium level of income ?
100%
0%
0%
View this question
Does a rise in autonomous consumption spending or a rise in investment or a rise in government spending by 50 leads to the same impact on equilibrium income and to identical adjustment paths for Y(t) ?
0%
0%
View this question
Take Y(0)=3000. Start with C(t) = 200 + 0.8Y(t), I=150, G=250. Rise the investment spending by 50. What is the new equilibrium level of income ?
0%
0%
0%
View this question
Take Y(0)=3000. Start with C(t) = 200 + 0.8Y(t), I=150, G=250. Rise the government spending by 50. What is the new equilibrium level of income ?
100%
0%
0%
View this question
Take Y(0)=3000. Start with C(t) = 200 + 0.8Y(t), I=150, G=250. Rise the autonomous consumption spending by 50. What is the new equilibrium level of income ?
0%
0%
0%
View this question
Is the equilibrium income attained if Y(0)=4000 ?
0%
100%
View this question

Want instant access to all verified answers on e-learning.lnu.edu.ua?

Get Unlimited Answers To Exam Questions - Install Crowdly Extension Now!

Browser

Add to Chrome