logo

Crowdly

Browser

Add to Chrome

Дискретна математика

Looking for Дискретна математика test answers and solutions? Browse our comprehensive collection of verified answers for Дискретна математика at e-learning.lnu.edu.ua.

Get instant access to accurate answers and detailed explanations for your course questions. Our community-driven platform helps students succeed!

Задано множини , , .

Знайти
100%
0%
0%
0%
View this question
Серед натуральних чисел від 1 до 1000 діляться на 4 або 9 (ввести число) чисел
View this question
Підмножину ребер графа, у якій жодні два ребра не є суміжні між собою називають
0%
0%
0%
100%
0%
View this question
Перестановкою букв у слові дисперсія можна утворити (ввести число) слів  (кортежів)
View this question
За сполученням 12467 лексикографічно наступним сполученням з 7-и по 5 є сполучення (ввести підряд цифри)
View this question
Скільки потрібно взяти людей, щоб принаймні у шістьох день народження був в одному місяці. Ввести число .
View this question
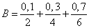
Кількість невід’ємних цілих розв’язків нерівності

становить (ввести число)
View this question
На рисунку зображено

100%
0%
0%
0%
0%
View this question
На універсумах та визначено розмиті множини та . Декартовим добутком цих множин буде розмита множина визначена на парах елементів:
0%
100%
100%
100%
View this question
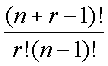
Кількість перестановок з повтореннями з n елементів дорівнює
0%
0%
0%
0%
View this question

Want instant access to all verified answers on e-learning.lnu.edu.ua?

Get Unlimited Answers To Exam Questions - Install Crowdly Extension Now!

Browser

Add to Chrome