logo

Crowdly

Browser

Add to Chrome

Чисельні методи (176)

Looking for Чисельні методи (176) test answers and solutions? Browse our comprehensive collection of verified answers for Чисельні методи (176) at e-learning.lnu.edu.ua.

Get instant access to accurate answers and detailed explanations for your course questions. Our community-driven platform helps students succeed!

Як

називають такий многочлен?

0%
100%
0%
0%
0%
View this question

Який є графік розв’язку диференціального рівняння y// = ex, що задовольняє умові y(0) = 0, y/(0) = 0, y > 0, x > 0?

0%
0%
100%
0%
0%
View this question

За

яких умов СЛАР має безліч розв’язків?

0%
0%
0%
0%
View this question

Чи

може сумісна систем лінійних алгебраїчних рівнянь мати безліч розв’язків?

100%
0%
0%
0%
View this question

Як

називають такий многочлен?

100%
0%
0%
0%
0%
View this question

Якою є

система

m

лінійних рівнянь з

n

невідомими, якщо виконується наступна умова:

0%
0%
0%
0%
0%
View this question

Формула Рунге-Кутта якого порядку володіє найменшою похибкою?

0%
0%
0%
0%
100%
View this question

Як

називають метод розв’язання СЛАР, суть якого полягає в тому, що шляхом елементарних перетворень СЛАР

приводять до еквівалентної системи трикутного

або трапецієвидного вигляду, з

якої послідовно, починаючи з останніх (за номером) змінних, знаходять усі

невідомі?

0%
0%
0%
0%
0%
View this question

Як

називають таку матрицю?

0%
0%
0%
0%
0%
0%
View this question

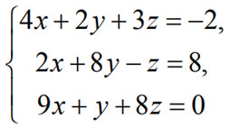
За методом Гаусса система

0%
0%
0%
0%
View this question

Want instant access to all verified answers on e-learning.lnu.edu.ua?

Get Unlimited Answers To Exam Questions - Install Crowdly Extension Now!

Browser

Add to Chrome