logo

Crowdly

Browser

Add to Chrome

Matematika XI-A, XI-B, XI-C, XI-D, XI-G, XI-H (DL) - 2526

Looking for Matematika XI-A, XI-B, XI-C, XI-D, XI-G, XI-H (DL) - 2526 test answers and solutions? Browse our comprehensive collection of verified answers for Matematika XI-A, XI-B, XI-C, XI-D, XI-G, XI-H (DL) - 2526 at elabs-smaraw.labschool-unj.sch.id.

Get instant access to accurate answers and detailed explanations for your course questions. Our community-driven platform helps students succeed!

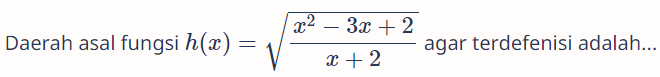
View this question

View this question

0%
0%
0%
100%
0%
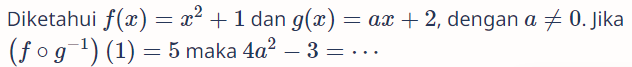
View this question

View this question

0%
0%
0%
0%
0%
View this question

View this question
0%
0%
0%
0%
0%
View this question

0%
0%
0%
0%
100%
View this question

0%
100%
0%
0%
0%
View this question

0%
0%
0%
0%
0%
View this question

Want instant access to all verified answers on elabs-smaraw.labschool-unj.sch.id?

Get Unlimited Answers To Exam Questions - Install Crowdly Extension Now!

Browser

Add to Chrome