logo

Crowdly

Browser

Add to Chrome

Геодезичні роботи в землеустрої ☑️

Looking for Геодезичні роботи в землеустрої ☑️ test answers and solutions? Browse our comprehensive collection of verified answers for Геодезичні роботи в землеустрої ☑️ at elearn.nubip.edu.ua.

Get instant access to accurate answers and detailed explanations for your course questions. Our community-driven platform helps students succeed!

Установіть відповідність:

View this question

За даною формулою визначають похибку площі залежно від похибок лінійних вимірів

0%
0%
View this question

Для перенесення проекту мензулою ні кутових, ні лінійних величин попередньо не визначають, тому що їх беруть із ... при перенесенні проекту в натуру.

Впишіть пропущене слово з малої букви як продовження речення без крапок і ком!

View this question

Залежно від розміщення проектних точок щодо пунктів геодезичної основи на практиці перенесення проектів в натуру теодолітом існують два варіанти визначення положення проектних точок на місцевості:

0%
0%
0%
0%
View this question

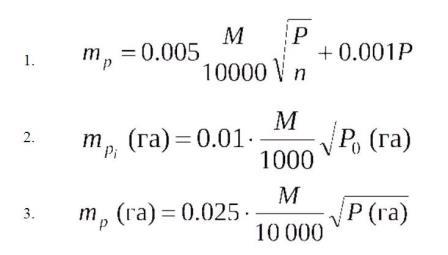
Яка із формул невірна?

0%
0%
0%
0%
View this question

Чому дорівнюватиме точність нанесення точок теодолітного ходу на план за координатами, якщо масштаб становить 1:25 000, а площа 100 га?

0%
0%
0%
100%
View this question

Дана формула застосовується для визначення похибок положення точок а, с на плані

100%
0%
View this question

Особливість перенесення проекту планування сільських населених пунктів полягає в тому, що при камеральній підготовці робочого креслення й під час польових робіт потрібно зберегти ... ... вулиць і під'їздів, форму та розміри житлових і виробничих комплексів та забезпечити надійніше закріплення проектних точок у натурі.

Впишіть пропущені слова з малої букви як продовження речення без крапок і ком!

View this question

Визначити точність нанесення точок теодолітного ходу на план за координатами, якщо масштаб 1:10 000, площа землекористування становить 126,67 га

0%
0%
0%
100%
View this question

Проект у натуру за допомогою мензули переносять із планшетів мензульного знімання або аерофотознімання в таких випадках:

0%
0%
0%
0%
0%
View this question

Want instant access to all verified answers on elearn.nubip.edu.ua?

Get Unlimited Answers To Exam Questions - Install Crowdly Extension Now!

Browser

Add to Chrome