logo

Crowdly

Browser

Add to Chrome

Геодезичні роботи в землеустрої ☑️

Looking for Геодезичні роботи в землеустрої ☑️ test answers and solutions? Browse our comprehensive collection of verified answers for Геодезичні роботи в землеустрої ☑️ at elearn.nubip.edu.ua.

Get instant access to accurate answers and detailed explanations for your course questions. Our community-driven platform helps students succeed!

Палетка слугує для вимірювання площ ... контурів.

Впишіть пропущене слово з малої букви!

View this question

Якщо кути і лінії визначаються графічно, то нев'язка буде результатом впливу?

1. Кутових і лінійних вимірювань в натурі.

2. Координат вихідних точок.

3. Нанесення точок на план по координатах.

4. Визначення кутів і ліній проектного ходу на плані.

5. Усі відповіді правильні.

Впишіть номер правильної відповіді без крапки.

Наприклад: 6

View this question

Площі контурів сільськогосподарських угідь визначають, головним чином, планіметром і лише для обчислення площ дрібних контурів (менше 1-2 см2 на плані) застосовують палетки.

Чи є це твердження правильним?

100%
0%
View this question

Які з тверджень є правильними?

Впишіть номери правильних тверджень через крапку!

Наприклад: 5.6

1. Для забезпечення контролю обчислень і підвищення точності при виборі висоти і основи слід прагнути до того, щоб в суміжних трикутниках вони повторювалися, оскільки це призведе до незалежності результатів обчислень і не спричинить грубі похибки.

2. Для підвищення точності визначення площі ділянки при обчисленні площ трикутників доцільно основи брати з результатів вимірів на місцевості (горизонтальне прокладення), якщо такі виміри проводили.

3. Площу кожного трикутника контролюють, визначаючи її двічі з незалежних висот та основ, і з двох результатів виводять середнє арифметичне.

View this question

Планіметр - картографічний механічний прилад для вимірювання площ ... ... об'єктів.

Впишіть пропущені слова з малої букви як продовження речення без крапок і ком!

View this question

Якщо на кальці контурів неможливо показати всі контури, тоді:

1. Складається ще одна калька контурів в крупному масштабі.

2. На кожен населений пункт складається окрема схема розшифровки села в більш крупнішому масштабі.

3. Складається калька контурів в іншому (більшому) форматі.

4. На кожний контур складається окрема калька контурів.

5. На кожну секцію складається окрема калька контурів.

Впишіть номер правильної відповіді без крапок і ком!

Наприклад: 7

View this question

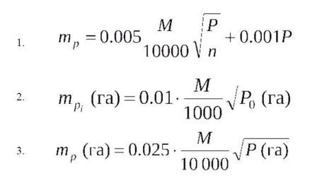
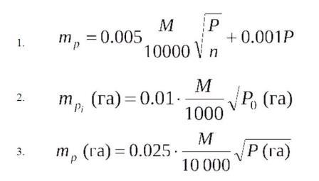
Середньоквадратична похибка визначення площі при одному обводі не може бути меншою ... поділки планіметра і відносна середньоквадратична похибка не може бути меншою 1:1 000.

Впишіть пропущене значення через крапку!

Наприклад: 0.7

View this question

Чому дорівнює похибка площі полігону під впливом систематичних похибок вимірювань ліній, якщо Р=1 525 га, λ=0,0002?

0%
0%
0%
100%
View this question

Спосіб Савича використовується для визначення площ великих контурів (полігонів), коли межові знаки не мають ... ... чи межі проходять по кривих лініях живих урочищ.

Впишіть пропущені слова з малої букви як продовження речення без крапок і ком!

View this question

Чому дорівнює горизонтальне прокладення d, якщо Х1=119 713 м, У1=123 899 м, Х2=119 770 м, У2=124 540 м?

0%
100%
0%
0%
0%
View this question

Want instant access to all verified answers on elearn.nubip.edu.ua?

Get Unlimited Answers To Exam Questions - Install Crowdly Extension Now!

Browser

Add to Chrome