logo

Crowdly

Browser

Add to Chrome

Геодезичні роботи в землеустрої ☑️

Looking for Геодезичні роботи в землеустрої ☑️ test answers and solutions? Browse our comprehensive collection of verified answers for Геодезичні роботи в землеустрої ☑️ at elearn.nubip.edu.ua.

Get instant access to accurate answers and detailed explanations for your course questions. Our community-driven platform helps students succeed!

Які з тверджень є правильними?

Впишіть номери правильних тверджень через крапку!

Наприклад: 5.6

1. Для забезпечення контролю обчислень і підвищення точності при виборі висоти і основи слід прагнути до того, щоб в суміжних трикутниках вони повторювалися, оскільки це призведе до незалежності результатів обчислень і не спричинить грубі похибки.

2. Для підвищення точності визначення площі ділянки при обчисленні площ трикутників доцільно основи брати з результатів вимірів на місцевості (горизонтальне прокладення), якщо такі виміри проводили.

3. Площу кожного трикутника контролюють, визначаючи її двічі з незалежних висот та основ, і з двох результатів виводять середнє арифметичне.

View this question

Якщо для підвищення точності визначення площ потрібно обводити контур при двох положеннях полюса, то при перекладанні важелів з положення полюс право в положення полюс ліво не переміщують, а лише перекладають важелі.

Чи є це твердження правильним?

100%
0%
View this question

Спосіб Савича використовується для визначення площ великих контурів (полігонів), коли межові знаки не мають ... ... чи межі проходять по кривих лініях живих урочищ.

Впишіть пропущені слова з малої букви як продовження речення без крапок і ком!

View this question

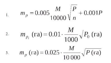
Що визначають за даною формулою?

0%
0%
0%
100%
View this question

0%
0%
0%
0%
View this question

Установіть відповідність:

View this question

Визначити похибку площі ділянки при розбивці фігури на трикутники, якщо масштаб 1:10 000, а Р становить 10,78 га.

Впишіть відповідь числовим значенням через крапку заокруглюючи до сотих!

Наприклад: 0.34

View this question

0%
0%
0%
0%
View this question

Перевага способу Савича полягає у тому, що при цьому механічно враховується ... ..., на якому складені план або карта, зменшується площа фігур, що обводяться, підвищується точність її визначення.

Впишіть пропущені слова з малої букви як продовження речення без крапок і ком!

View this question

Площа Р=64 га визначена двома обводами, масштаб 1:25 000, ціна поділки планіметра р=0,6 га. Визначіть загальну середньоквадратичну похибку mp.

0%
0%
100%
View this question

Want instant access to all verified answers on elearn.nubip.edu.ua?

Get Unlimited Answers To Exam Questions - Install Crowdly Extension Now!

Browser

Add to Chrome