logo

Crowdly

Browser

Add to Chrome

Експлуатація машин і обладнання ☑️

Looking for Експлуатація машин і обладнання ☑️ test answers and solutions? Browse our comprehensive collection of verified answers for Експлуатація машин і обладнання ☑️ at elearn.nubip.edu.ua.

Get instant access to accurate answers and detailed explanations for your course questions. Our community-driven platform helps students succeed!

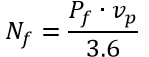
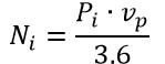
Номінальна частота обертання колінчастого вала

двигуна

знаходять:

View this question

Вкажіть спосіб руху машинних

агрегатів при якому «

робочі ходи агрегату

здійснюються діагонально під кутом до сторін загінки

»:

View this question

Виберіть фактори, що впливають на тяговий опір агрегату:

View this question

Виберіть складові, що входять до тягового зусилля трактора

View this question

Виберіть формулу затрати потужності, що витрачається на буксування трактора:

View this question

Конструктивна ширина захвату сільськогосподарської машини

50%
0%
0%
View this question

Виберіть спосіб руху машинних агрегатів при якому виконуються операції збирання зернових культур, льону та трав:

View this question

Вкажіть на формулу втрати потужності на тертя в трансмісії трактора:

View this question

Робоча ширина захвату агрегату включає:

View this question

Вкажіть на вид  способу

руху машинних агрегатів, що використовується під час сівби та культивації

View this question

Want instant access to all verified answers on elearn.nubip.edu.ua?

Get Unlimited Answers To Exam Questions - Install Crowdly Extension Now!

Browser

Add to Chrome