logo

Crowdly

Browser

Add to Chrome

Статистика (ЕП) ☑️

Looking for Статистика (ЕП) ☑️ test answers and solutions? Browse our comprehensive collection of verified answers for Статистика (ЕП) ☑️ at elearn.nubip.edu.ua.

Get instant access to accurate answers and detailed explanations for your course questions. Our community-driven platform helps students succeed!

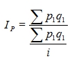
 Вкажіть, який з індексів є середньогармонійним індексом цін, тотожним агрегатній формі?

0%
0%
0%
100%
View this question
Обчислити індекс товарообороту, якщо відомо, що індекс цін становить 1,1, а індекс обсягу реалізованої продукції - 0,9
View this question

Чому дорівнює індекс товарообігу якщо відомо, що ціни зросли на 5%, а обсяг реалізації зменшився на 4% ?

View this question
Обчислити індекс товарообороту, якщо відомо, що індекс цін зросли на 10%, а індекс обсягу реалізованої продукції - зменшився на 10%
View this question

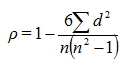
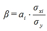
Вкажіть відповідність формули назві показника 

View this question

Назвіть показник ряду динаміки, який характеризує абсолютну зміну порівнюваного рівня щодо бази порівняння

0%
0%
100%
0%
0%
View this question

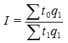
Який індекс обчислюють за формулою  

0%
0%
0%
0%
View this question

Індекс змінного середньої заробітної плати становив 112,75%, а індекс структурних зрушень - 1,10. Визначте індекс фіксованого складу середньої заробітної плати.

View this question

Середній коефіцієнт зростання обчислюють за формулою середньої геометричної.  Так чи ні?

100%
0%
View this question

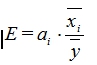
Що характеризують коефіцієнти еластичності ?

0%
0%
100%
0%
View this question

Want instant access to all verified answers on elearn.nubip.edu.ua?

Get Unlimited Answers To Exam Questions - Install Crowdly Extension Now!

Browser

Add to Chrome