logo

Crowdly

Browser

Add to Chrome

Статистика (ЕП) ☑️

Looking for Статистика (ЕП) ☑️ test answers and solutions? Browse our comprehensive collection of verified answers for Статистика (ЕП) ☑️ at elearn.nubip.edu.ua.

Get instant access to accurate answers and detailed explanations for your course questions. Our community-driven platform helps students succeed!

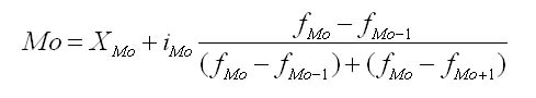
Назвіть показник, що обчислюють за формулою 

1

View this question

Назвіть показник, який отримують внаслідок порівняння одних і тих же характеристик двох різних сукупностей, груп або одиниць?

View this question

Відносні показники диференціації характеризують співвідношення між складовими частинами цілого, так чи ні?

100%
0%
View this question

Дисперсія постійної величини дорівнює ...

 

View this question

Який відносний показник характеризує зміну явища у часі?

View this question

Оберненою до середньої арифметичної є середня квадратична, так чи ні?

0%
100%
View this question

Ряд розподілу, в якому середня арифметична=медіані=моді є симетричним, так чи ні?

 

100%
0%
View this question

Статистика вивчає кількісну сторону масових явищ і процесів суспільного життя без врахування їх якісного змісту. Так чи ні?

0%
0%
View this question

Відносні показники інтенсивності отримають в результаті порівняння двох структурних рядів, один з яких характеризує співвідношення частин сукупності за чисельністю одиниць, а другий - за величиною будь-якої ознаки, так чи ні?

100%
0%
View this question

Специфічною особливістю статистичної сукупності є масовість одиниць, так чи ні?

100%
0%
View this question

Want instant access to all verified answers on elearn.nubip.edu.ua?

Get Unlimited Answers To Exam Questions - Install Crowdly Extension Now!

Browser

Add to Chrome