logo

Crowdly

Browser

Add to Chrome

Statistics ☑️

Looking for Statistics ☑️ test answers and solutions? Browse our comprehensive collection of verified answers for Statistics ☑️ at elearn.nubip.edu.ua.

Get instant access to accurate answers and detailed explanations for your course questions. Our community-driven platform helps students succeed!

Market capacity is

View this question

Non-market

output includes goods and services:

View this question

Based on a study of millet yields over 15 years, a trend model was built: Yt=40,3+0,184t. Make a pessimistic, realistic and optimistic forecast for the next three years, provided that the standard deviation is 1.45; significance level according to Student 2.16. Make conclusions

View this question

Organization

of statistical work in Ukraine

View this question

Factors of the cost of products in crop production

are:

View this question

 

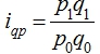
Define correspondence of the

calculation of the individual indexes to their names:

View this question

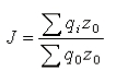
The indices of the

constant index include indices:

0%
0%
View this question

The index of physical volume of products is determined by the formula:

0%
0%
0%
View this question

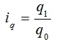
By which kind of

index is determined the change of gross harvest due to yield:

0%
0%
View this question

Main forms of indices:

View this question

Want instant access to all verified answers on elearn.nubip.edu.ua?

Get Unlimited Answers To Exam Questions - Install Crowdly Extension Now!

Browser

Add to Chrome