logo

Crowdly

Browser

Add to Chrome

Mechanics of Materials and Constructions. P2 ☑️

Looking for Mechanics of Materials and Constructions. P2 ☑️ test answers and solutions? Browse our comprehensive collection of verified answers for Mechanics of Materials and Constructions. P2 ☑️ at elearn.nubip.edu.ua.

Get instant access to accurate answers and detailed explanations for your course questions. Our community-driven platform helps students succeed!

Stability

is the property of the structure to keep its

initial position of equilibrium

100%
0%
View this question

Find thecorresponding beam, which the diagram of bending moment is shown: 

                                

0%
0%
0%
View this question

Stability

is

0%
0%
0%
0%
View this question

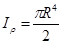
The polar moment of inertia for а circle is:

0%
0%
View this question

The normal stress σ by bending is equal zero at center of cross-section of the beam

100%
0%
View this question

The deflection is measured from the original neutral surface to the neutral surface of the deformed beam

100%
0%
View this question

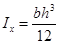
The moment of inertia of а rectangle about an axis x is:

0%
0%
View this question

The angle θ is defined as the deflection of the beam

0%
100%
View this question

For a given column the 

coefficient of

lengthening

ν is equal:

0%
100%
0%
0%
View this question

In the case of the

off-center acting of longitudinal force, the stresses are determined from the

dependence:

100%
0%
View this question

Want instant access to all verified answers on elearn.nubip.edu.ua?

Get Unlimited Answers To Exam Questions - Install Crowdly Extension Now!

Browser

Add to Chrome