logo

Crowdly

Browser

Add to Chrome

Конярство та кіннозаводство ☑️

Looking for Конярство та кіннозаводство ☑️ test answers and solutions? Browse our comprehensive collection of verified answers for Конярство та кіннозаводство ☑️ at elearn.nubip.edu.ua.

Get instant access to accurate answers and detailed explanations for your course questions. Our community-driven platform helps students succeed!

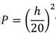
В 1 мг гравогормоні СЖК міститься, мкг:

View this question

Вкажіть на які категорії поділяють за вгодованістю

View this question

Для якої мети використовують хомут

0%
0%
0%
View this question

Стандартні хомути мають 

0%
0%
0%
0%
View this question

Вкажіть види змагань, з яких складається триборство, що проводяться на 2-й день змагань

0%
0%
0%
0%
0%
View this question

Вкажіть як називаються коні

у випадку

, коли доля кровності за чистокровною верховою породою складає 3/4, 7/8

View this question

Яку потужність розвивають ваговозні коні різних порід, к.с.

View this question

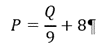
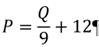
Вкажіть авторів формул нормального тяглового зусилля:

View this question

Що означає термін “напівкровна” порода?

View this question

Вкажіть середню тривалість

охоти в у кобили

View this question

Want instant access to all verified answers on elearn.nubip.edu.ua?

Get Unlimited Answers To Exam Questions - Install Crowdly Extension Now!

Browser

Add to Chrome