logo

Crowdly

Browser

Add to Chrome

Вища математика (1-2 курс, 1р ВО, БІКС, очна)

Looking for Вища математика (1-2 курс, 1р ВО, БІКС, очна) test answers and solutions? Browse our comprehensive collection of verified answers for Вища математика (1-2 курс, 1р ВО, БІКС, очна) at elearning.kubg.edu.ua.

Get instant access to accurate answers and detailed explanations for your course questions. Our community-driven platform helps students succeed!

  Відповідь дати у вигляді доданого зображення з розв'язанням рівняння, написаного від руки.

View this question

  Відповідь дати у вигляді доданого зображення з розв'язанням рівняння, написаного від руки.

View this question

  Відповідь дати у вигляді доданого зображення з розв'язанням рівняння, написаного від руки.

View this question

Вкажіть правильні твердження щодо числових

рядів:

View this question

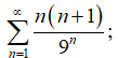
Відзначте всі збіжні числові ряди:

0%
0%
0%
0%
View this question

View this question

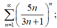
Вкажіть правильні твердження для додатного числового ряду:

0%
0%
0%
0%
View this question

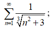
Вкажіть правильні твердження для знакозмінного

числового ряду:

View this question

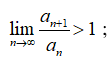
Вкажіть правильні твердження для знакочергуючого числового ряду:

0%
0%
0%
0%
View this question

  Відповідь дати у вигляді доданого зображення з розв'язанням рівняння, написаного від руки.

View this question

Want instant access to all verified answers on elearning.kubg.edu.ua?

Get Unlimited Answers To Exam Questions - Install Crowdly Extension Now!

Browser

Add to Chrome